こんにちは。Yukiです。今回はIIRフィルタを実装してみたいと思います。
注意:ここに書いてあることが正しいのかは知りません!参考程度にどうぞ!
めちゃ簡フィルタ実装 – 2回目
- 1回目 – FIRフィルタを実装
- 以前やった内容
- https://denshi1996.com/?p=809
- 2回目 – IIRフィルタを実装
- この記事でやります
- 3回目 – マイコンに実装
- 準備中…
- 4回目 – DSP機能付きマイコンで実装
- 準備中…
今回使うツール
前回と変わりませんが、ここに出しておきます。
- デジタルフィルタアナライザ dfalz1 – DIGITALFILTER.COM
MATLAB等に入っているフィルタ設計ツールでも良いですが、無料のため今回はこれを使います。
株式会社 デジタルフィルター様に感謝いたします。
- VSCode
ぶっちゃけエディタならなんでいいです。今回はVSCodeを使用します。一部ですが、VSCodeの置換機能を使います(デバッグ作業も楽だしね)
- Audacity
波形を見るときに使用します。RAW形式の音声を取り込めれば何でも大丈夫です。
- GCC
今回はGCCを利用します。(まあ多分C言語をコンパイルできるならなんでも大丈夫)
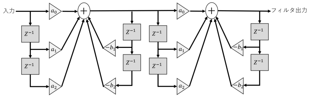
IIRフィルタの構造
IIRフィルタには様々な構造があります。
今回使用するツールが出力できるものはDirect Form I型という最も理論的にわかりやすいIIRフィルタです。

次数を増やすには、フィルタ出力の横に同じ形のブロック図をつける感じです。

(上の写真で構成するとより性能が良いフィルタになるが、計算量も増える)
今回のソフトでは最大8までいけるようです。
FIRフィルタでは200とかにしましたが、IIRフィルタはフィードバックもあり効率の良いフィルタなので、8も入れればかなり急峻なフィルタになります。
(IIRフィルタはInfinite Impulse Response フィルタという通り、無限の応答なので、フィードバックで前の情報を残して無限にしているらしいです)
実際に設計してみる
では早速dfalzを開き、設計してみましょう。

LPF・IIRにセットして、Designボタンを押します。

IIRフィルタの層数と、リプル、カットオフ周波数とサンプリング周波数を設定します。
今回は次のような感じで設定しました。(1000Hzの矩形波を入力するので、少し大きめにしています)

Coefficientsを選択します。

Quantize Byにチェックを入れます。

Save/Loadを押し、Save coefficientsをクリック。OKを押して任意の場所に保存すればOKです。
Cで使えるヘッダファイルに変換
FIRフィルタのときは、後ろにカンマを付けるだけだったので、VSCodeの置換機能を使えば簡単でしたが、IIRフィルタは様々な定数があるので若干面倒です。
ということで、このソフト形式で出てきたテキストファイル→ヘッダファイルになるCプログラムを作ります。
#include <stdio.h>
#include <string.h>
#define INPUT_FILE_PATH "IIR_LPF.txt"
#define OUTPUT_FILE_PATH "output.h"
int main(void){
FILE *input_file;
FILE *output_file;
char buffer[256];
input_file = fopen(INPUT_FILE_PATH, "r");
if(input_file == NULL){
printf("INPUTファイルが開けませんでした\n");
return -1;
}
output_file = fopen(OUTPUT_FILE_PATH, "w");
if(output_file == NULL){
printf("OUTPUTファイルが開けませんでした\n");
return -2;
}
fprintf(output_file, "#define IIR_A 0\n#define IIR_B 1\ndouble IIR_Weight[2][8][3];\nvoid IIR_Weight_setup(void)\n{\n");
fgets(buffer, sizeof(buffer), input_file); //1行飛ばす
int filter_cnt = 0;
int AorB_cnt = 0;
int filter_n = 0;
while(fgets(buffer, sizeof(buffer), input_file) != NULL){
//IIR_AまたはIIR_Bに直す
char tmp[6];
if(AorB_cnt == 0){
snprintf(tmp,sizeof(tmp),"IIR_A");
}else{
snprintf(tmp,sizeof(tmp),"IIR_B");
}
//改行を消す
buffer[strlen(buffer) - 1] = '\0';
fprintf(output_file, "\tIIR_Weight[%d][%s][%d] = %s;\n", filter_cnt, tmp, filter_n, buffer);
filter_n++;
if(filter_n >= 3 && AorB_cnt == 0){
filter_n = 1;
AorB_cnt = 1;
}
if(filter_n >= 3 && AorB_cnt == 1){
filter_n = 0;
AorB_cnt = 0;
filter_cnt++;
}
}
fprintf(output_file, "}\n");
fclose(input_file);
fclose(output_file);
}ちゃんと作っていないので、バグとかあるかもしれません。自己責任でお使いください。
4, 5行目にあるdefine宣言のところを変更するだけで使えます。
INPUT_FILE_PATHには、先ほどdfalz1で出力したテキストファイルのパスを入力します。OUTPUT_PATHは保存先を入力します。(上書きで保存されるので注意!)
プログラム
FIRフィルタのときのプログラムでも使いましたが、矩形波を出力するCプログラムはそのまま再利用します。
#include <stdio.h>
#include <stdint.h>
//保存先
#define FILE_PATH "filter_test.raw"
//サンプリング周波数
#define Fs 44100
//矩形波の周波数
#define SQ_F 1000
//矩形波を何秒生成するか
#define SQ_TIME 1
//矩形波のMAX値(符号あり16bitだったら32767)
#define SQ_MAX 25000
//矩形波のMIN値(符号あり16bitだったら-32768)
#define SQ_MIN -25000
int main(void){
FILE *file;
file = fopen(FILE_PATH, "wb");
//矩形波を生成するために必要なサンプリング数を計算
int samples_per_cycle = (int)(Fs / SQ_F);
for(int j = 0; j < SQ_F * SQ_TIME ; j++){
//半周期分の矩形波を生成
for(int i = 0; i < samples_per_cycle / 2;i++){
int16_t data = SQ_MAX; //HIGH
fwrite(&data, sizeof(int16_t), 1, file);
}
for(int i = 0; i < samples_per_cycle / 2;i++){
int16_t data = SQ_MIN; //LOW
fwrite(&data, sizeof(int16_t), 1, file);
}
}
fclose(file);
}上のdefine宣言のところが設定です。適宜設定して使ってください。(といっても保存先ぐらいしか触るところない気もしますが)
それでは、IIRフィルタのプログラムを作ります。といってもブロック図通りにCプログラムを書けばよいだけです。
#include <stdio.h>
#include <stdint.h>
#include "IIR_1000Hz_LPF.h"
#define INPUT_FILE_PATH "music.raw"
#define OUTPUT_FILE_PATH "music_output.raw"
#define IIR_N 8
#define VOLUME 0.7
#define BUFFER_A 0
#define BUFFER_B 1
double IIR_buffer[2][IIR_N][3] = {0};
int main(void)
{
IIR_Weight_setup();
FILE *input_file;
FILE *output_file;
input_file = fopen(INPUT_FILE_PATH, "rb");
if (input_file == NULL)
{
printf("INPUTファイルが開けませんでした\n");
return -1;
}
output_file = fopen(OUTPUT_FILE_PATH, "wb");
if (output_file == NULL)
{
printf("OUTPUTファイルが開けませんでした\n");
return -2;
}
while (1)
{
int16_t input_data;
size_t read_size = fread(&input_data, sizeof(int16_t), 1, input_file);
if (read_size != 1)
{
// 読み込み失敗 (EOF(ファイルの最後)に到達したと考えて終了)
break;
}
for (int i = 0; i < IIR_N; i++)
{
double output_data = 0.0;
// バッファをずらす
IIR_buffer[BUFFER_A][i][2] = IIR_buffer[BUFFER_A][i][1];
IIR_buffer[BUFFER_A][i][1] = IIR_buffer[BUFFER_A][i][0];
if (i == 0)
{
IIR_buffer[BUFFER_A][i][0] = input_data * VOLUME;
}
else
{
IIR_buffer[BUFFER_A][i][0] = IIR_buffer[BUFFER_B][i - 1][0];
}
IIR_buffer[BUFFER_B][i][2] = IIR_buffer[BUFFER_B][i][1];
IIR_buffer[BUFFER_B][i][1] = IIR_buffer[BUFFER_B][i][0];
output_data = IIR_Weight[IIR_A][i][0] * IIR_buffer[BUFFER_A][i][0];
output_data += IIR_Weight[IIR_A][i][1] * IIR_buffer[BUFFER_A][i][1];
output_data += IIR_Weight[IIR_A][i][2] * IIR_buffer[BUFFER_A][i][2];
output_data += IIR_Weight[IIR_B][i][1] * IIR_buffer[BUFFER_B][i][1] * (-1);
output_data += IIR_Weight[IIR_B][i][2] * IIR_buffer[BUFFER_B][i][2] * (-1);
if (IIR_buffer[BUFFER_B][IIR_N - 1][0] > 32767.0)
{
IIR_buffer[BUFFER_B][IIR_N - 1][0] = 32767.0;
}
if (IIR_buffer[BUFFER_B][IIR_N - 1][0] < -32768.0)
{
IIR_buffer[BUFFER_B][IIR_N - 1][0] = -32768.0;
}
IIR_buffer[BUFFER_B][i][0] = output_data;
}
int16_t output_int16 = (int16_t)IIR_buffer[BUFFER_B][IIR_N - 1][0];
fwrite(&output_int16, sizeof(int16_t), 1, output_file);
}
}Audacityで確認

ちゃんと正弦波みたいになっていますね。

左が矩形波 右がフィルタ後です。きれいに落ちていることがわかります。

参考程度にFIRフィルタの周波数解析です。IIRフィルタのほうがちゃんとカットできていますね。
IIRフィルタも思ったより簡単だった
最初見たときは拒絶反応が出ましたが、やってみると以外に簡単だなという印象でした。
また、ここまできれいに落ちるというのはなかなかすごいのではないでしょうか。
次はこれらのフィルタをマイコンに実装…と行きたいところなんですが、私の予定が忙しくなりそうなのでどうなるかわかりません。気長にやっていきたいかなと思います。
ありがとうございました。

コメント