こんにちは。Yukiです。めちゃくちゃ久しぶりのブログ投稿です。
思ったより簡単にデジタルフィルタを実装できたので、備忘録として残しておこうと思います。
今回は、PC(C言語)を使い、音声ファイルをを使います。
注意:ここに書いてあることが正しいのかは知りません!参考程度にどうぞ!
めちゃ簡実装 – 1回目
何をやるかは未定ですが、今のところ次のような形で進める予定です。
- 1回目 – FIRフィルタを実装
- この記事でやります
- 2回目 – IIRフィルタを実装
- 3回目 – マイコンに実装
- 準備中…
- 4回目 – DSP機能付きマイコンで実装
- 準備中…
デジタルフィルタの種類
おそらくいろいろあるとは思うのですが、大きく分けて2つあります。
- FIRフィルタ (Finite Impulse Response フィルタ)
- 常に安定
- 遅延が常に一定
- 設計がIIRフィルタに比べて簡単
- IIRフィルタ (Infinite Impulse Response フィルタ)
- フィードバックがある
- 不安定になる可能性がある
- 遅延が短い
- アナログフィルタと共通点が多い
- フィードバックがある
簡単にいうとこんな感じです。今回はFIRフィルタを使います。(IIRフィルタは次回以降にやってみたいと思います)
あと、詳しいパラメータの計算方法とかはやりません(ツールを使います)
デジタルフィルタについて詳しく知りたい方は、別の記事をどうぞ
今回使うツール
- デジタルフィルタアナライザ – DIGITALFILTER.COM
MATLAB等に入っているフィルタ設計ツールでも良いですが、無料のため今回はこれを使います。
株式会社 デジタルフィルター様に感謝いたします。
- VSCode
ぶっちゃけエディタならなんでいいです。今回はVSCodeを使用します。(デバッグ作業も楽だしね)
- Audacity
波形を見るときに使用します。RAW形式の音声を取り込めれば何でも大丈夫です。
- GCC
今回はGCCを利用します。(まあ多分C言語をコンパイルできるならなんでも大丈夫)
そもそもフィルタの設計とは何をするのか
自分はこれがさっぱりわからなかったです。結論からいうと、各重みの決める事がフィルタの設計になります。

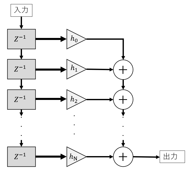
FIRフィルタはこのような構成図になっています。
Zとかいうブロックがありますが、これは遅延ブロックで、前のデータを表しています。下にいけばいくほど、古いデータが流れていくみたいなイメージです。
FIRフィルタでは、h0とかh1とかh2とかの数値(パラメータ)を調整するというのが目標になります。この値を変えることによって、指定されたローパス・ハイパス・バンドパスフィルタなどを作ることができます。
(株価とかの平均線なども実は構成図自体は同じです)
実際に設計してみる
まずは、フィルタ設計ツールにて、係数(重み)を計算します。

Filter TypeをLPFにして、FIRにセットして、Designをクリックします。

今回は、次のように設定しました。
今回は1000Hzベースの矩形波を入力とするので、1000Hzちょっと大きいくらいの値をfc1(Pass band edge)にします。fc2(Stop band edge)は2000Hz以下くらいにします。(矩形波には理論上ですが3ω~の周波数成分が入っているので)
Tap Countは、増やすと繰り返し回数が増える(遅延が増大する)ので程々にします。(当たり前ですが、大きくしたほうがフィルタの性能は良くなりますが)

グラフ部分にフィルタ性能が表示されます。今回だと、カット帯域は-50dB以下 (大体0.003倍くらい)まで軽減されます。
次に、この特性になる係数を出力されます。
Coefficientsをクリック。

Quantize byにチェックを入れます。

Save/Loadをクリック。

一番上のSave Coefficientsにチェックを入れて、OKを押して、どっかに保存してください。(名前はなんでも大丈夫です)
C言語で使えるファイル形式に変換
ここからVSCodeを利用します。
実はMATLAB等のツールを使うと、直接C言語用のヘッダファイルが生成されるのですが、このツールはそのような機能がないため、ヘッダファイルに改造します。

VSCodeに取り込み、名前を〇〇◯.h (C++で作る場合は◯◯◯.hpp)に変更します。
今回は FIR_Filter_LPF.h という名前にしました。

Ctrl + H を押すと置換機能が出ます。 上のテキストボックスには置換前の文字列。下のテキストボックスには置換後の文字列を入れます。
ここがVSCodeの便利機能なのですが、■*みたいなマークのところを押すと、\n等の改行文字も置換対象にすることができます。
今回は、すべての行末にカンマを付与したいので、置換前に\n 置換後に ,\n を入れます。

#define宣言でTAP_Nを宣言します。(#defineを使えない派閥の方は、const int 等で適当に代用してください。そっちのほうがいいらしいですし)
次に、配列を作ります。 const double filter_weight[]という配列名にしました。
(画像のようにしてくれれば大丈夫)

最終行のカンマを1つ消し、 }; をつけて終了です。(セミコロンを忘れないように)
矩形波を生成する
矩形波を出力するためのプログラムを作ります。
#include <stdio.h>
#include <stdint.h>
//保存先
#define FILE_PATH "C:/Users/User/Desktop/square_wave.raw"
//サンプリング周波数
#define Fs 44100
//矩形波の周波数
#define SQ_F 1000
//矩形波を何秒生成するか
#define SQ_TIME 1
//矩形波のMAX値(符号あり16bitだったら32767)
#define SQ_MAX 25000
//矩形波のMIN値(符号あり16bitだったら-32768)
#define SQ_MIN -25000
int main(void){
FILE *file;
file = fopen(FILE_PATH, "wb");
//矩形波を生成するために必要なサンプリング数を計算
int samples_per_cycle = (int)(Fs / SQ_F);
for(int j = 0; j < SQ_F * SQ_TIME ; j++){
//半周期分の矩形波を生成
for(int i = 0; i < samples_per_cycle / 2;i++){
int16_t data = SQ_MAX; //HIGH
fwrite(&data, sizeof(int16_t), 1, file);
}
for(int i = 0; i < samples_per_cycle / 2;i++){
int16_t data = SQ_MIN; //LOW
fwrite(&data, sizeof(int16_t), 1, file);
}
}
fclose(file);
}5行目の#define宣言は、任意の保存先に変更してください。
次に、この波形データをAudacityに取り込みます。(ちゃんと矩形波が生成されているのかの確認)

ファイル → インポート → Raw データをインポートをクリックします。

上に貼り付けたソースコードをそのまま使い、RAWデータを生成した場合はこのような設定になります。


こんな感じで矩形波が取り込めていたらOKです。(1秒に達していませんが、これはサンプリング周波数が44.1kHzで中途半端なため、丸め誤差が発生しているからです)
デジタルフィルタを実装してみよう
フィルタの係数・入力データの用意ができました。ということでデジタルフィルタをちゃちゃっと実装しましょう。
#include <stdio.h>
#include <stdint.h>
#include "FIR_Filter_LPF.h"
#define INPUT_FILE_PATH "C:/Users/User/Desktop/square_wave.raw"
#define OUTPUT_FILE_PATH "C:/Users/User/Desktop/filter_output.raw"
#define VOLUME 0.7
int main(void){
FILE *input_file;
FILE *output_file;
//フィルタ用に過去の入力データを保存しておく配列
int16_t input_buffer[TAP_N]= {0};
input_file = fopen(INPUT_FILE_PATH, "rb");
if(input_file == NULL){
printf("INPUTファイルが開けませんでした\n");
return -1;
}
output_file = fopen(OUTPUT_FILE_PATH, "wb");
if(output_file == NULL){
printf("OUTPUTファイルが開けませんでした\n");
return -2;
}
while(1){
int16_t input_data;
size_t read_size = fread(&input_data, sizeof(int16_t), 1, input_file);
if(read_size != 1){
//読み込み失敗 (EOF(ファイルの最後)に到達したと考えて終了)
break;
}
double output_data = 0.0;
//バッファをずらす
for(int i = TAP_N - 1; i > 0; i--){
input_buffer[i] = input_buffer[i - 1];
}
input_buffer[0] = input_data * VOLUME;
//畳み込み演算
for(int i = 0; i < TAP_N; i++){
output_data += filter_weight[i] * input_buffer[i];
}
//出力データのクリップ処理
if(output_data > 32767.0){
output_data = 32767.0;
} else if(output_data < -32768.0){
output_data = -32768.0;
}
int16_t output_data_int16 = (int16_t)output_data;
fwrite(&output_data_int16, sizeof(int16_t), 1, output_file);
}
}実はフィルタの実装自体は下に示す部分のみです。
//バッファをずらす
for(int i = TAP_N - 1; i > 0; i--){
input_buffer[i] = input_buffer[i - 1];
}
input_buffer[0] = input_data * VOLUME;
//畳み込み演算
for(int i = 0; i < TAP_N; i++){
output_data += filter_weight[i] * input_buffer[i];
}思ったよりもシンプルじゃないですか?
このプログラムを実行すると、フィルタ後のRAWデータが出力されます。先ほどと同様の方法でAudacityに読み込ませます。

おーすごいですね。できました。ちゃんと正弦波っぽい波形になっています。

左が矩形波で右がフィルタ後の周波数解析です。
矩形波の方は、1000Hzから3ωごとの波形が出てきていますね。3000Hz付近だと、だいたい-26dBくらいですかね。
フィルタ後は3000Hzの波形が-66dB近くまで減衰していることがわかるかと思います。
-40dBなので、だいたい1/100くらい下がっていることになります。
波形から見るFIRフィルタの欠点

FIRフィルタは安定していますが、遅延が大きいです。
理由としては、タップ数が大きいためです。今回はサンプリング周波数が44.1kHzでタップ数が200なので、4.5ms程度(1/44100 * 200) 遅れます。
また、波形から見えるわけではないですが、FIRフィルタはタップ数の回数分、浮動小数点の掛け算と足し算を行うことから、計算コストが大きくなります。
(今回だと1秒程度の音声データなのですぐ終わりますが、5分程度の音声データを入力すると処理に10秒程度かかります)
実際に音声データでやってみる
今回は加工OKを明言している魔王魂を利用しました。

音が曇った&ベースが強く聞こえるようになったかなと思います。(って書きましたが、正直わかりにくいなという印象です…)

周波数解析の結果です。1000Hz~2000Hzを境に急に下がっていますね。完璧なフィルタです。
感想
いままでデジタルフィルタは設計が難しいと思っていましたが、こんなに簡単に実装できるのであればもっと早くからやればよかったと公開しました。
タップ数50回程度でもそこそこ実用性がありそうなフィルタも作れそうだったので、今後はセンサ等にも組み込んでみても面白いかもなんて思いました。

コメント